Grapevine Communication is defined as unstructured and Informal network formed on social relationship rather than organizational charts or job descriptions. It is actually an informal vehicle through which message flows throughout the organization.

Grapevine is a channel through which the actual communication between various troops of the organization takes place and gives out the desired outcome. Since it is unstructured and not under complete control of management, it moves through the organization in every direction.
It moves upwards, downward, and diagonally, within and without chains of command, between workers and managers, and even with and without a company.
It gives out an idea that grapevine is not a form of communication which follows structural path. It moves in all the direction that is up, down and even diagonally.
There are 4 types of Grapevine communication are:

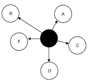
Single Strand Chains are those which follow single chain transmission.
For example, A tells to B, who tells it to C & so on. The longer the strand, the more is the distortion and filtering effects. For example, if any employee is at the verge to be declared as the new team leader, then this message travels in a single chain.
![]()
Gossip Chains are those in which Group of people gather up to discuss matters of mutual interest. These chains are generally considered to be slow in passing the information.

For example, a message of ‘not-on-job’ is passed through this type of chain.
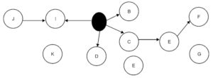
Probability Chain: is an informational network where each of the individual randomly tells others the same message. The source of information for each of the person hearing the message is different.

Cluster Chain is an informational network where someone first tells the message to the selected individuals and those selected individuals pass the same information to other selected individuals and the process continue in the same way.

Most of the informal communication follows this chain. Here the pivotal or the center person passes the information to the other persons who pass the information to the other selected persons.
Some general characteristics of grapevine communication are:

A large number of employees in an organization depends on the grapevine because they consider this as the primary source of information as well as the reliable channel to communicate about the facts and events within the firm.
Grapevine links the whole organization very quickly. From top to bottom of an organization, nobody is left from the touch of grapevine. That’s why sometimes grapevine communication is considered very effective communication.
It is more flexible than formal channels because formal channels require various formalities whereas grapevine is free from those formalities. Gossiping, sharing moments or conversation are enough to create a grapevine.
Information moves very quickly through the grapevine. Grapevine runs faster than the wind.
Information spreading through grapevine is like to be distorted as it moves point to point, terminal to terminal or person to person. e.g. Mr. X got married recently such information can be distorted as Mr. X got married outside of his country two years ago.
Grapevine uses oral techniques more rather than written or non-verbal techniques. As oral communication involves less time, grapevine is likely to be dependent on oral mode.
As the text or essence of grapevine is catchy, there exists a large receiver to deal with it. A huge number of individuals are always there to take part in grapevine.
Grapevine can pierce the strong security and can fly from mouth to mouth very easily. It has more ability to spread throughout the whole organization.
Grapevine normally carries that information that formal communication does not wish to convey. Information based on fabrication or rumor is supposed to be transmitted more in a better way through grapevine.
The same information which is transmitted through formal chain can be distorted and therefore can raise contradiction if it passes through grapevine.
Advantages of grapevine communication are:
Being a channel free from documentation and hierarchal barriers, grapevine serves as the fastest medium of exchanging thoughts and information within and outside an organization.
Every action has an equal and opposite reaction, and in the case of grapevine it is quick too. The feedback of the rumor reaches in no time back to the person from where the rumor originated.
Gossips, which is a form of grapevine often becomes the main reason for bringing people closer and making them friendly. Gossip increases interaction between the employees which directly increases workability of any organization.
One of the most important benefits of grapevine communication is that it keeps the employees updated. Any news, good or bad reaches everyone and allows them to respond according to it.
As we all know that formal communication is time-consuming as it is full of formalities.
Disadvantages of grapevine communication are:

The grapevine communication among the employees and employers cannot be stopped even though the upper level of management put an effort on it. Communication is after all, a natural human activity.
There are several ways on how to deal with grapevine communication and next it can be used as a medium channel between the employer and employee in the organization.
The organization should not eliminate the grapevine communication because it can help the employees in doing their work.
Not a member yet? Register now
Are you a member? Login now